Las revisiones sistemáticas y los HTA sobre la eficacia clínica tienen como objetivo apoyar la toma de decisiones basada en la evidencia en el cuidado de la salud. La recuperación de la información para las revisiones sistemáticas se debe realizar de manera sistemática, transparente y reproducible.
Se ha publicado la versión final de la EUnetHTA methodological guideline «Process of information retrieval for systematic reviews and health technology assessments on clinical effectiveness» desarrollada por el Institute for Quality and Efficiency in Health Care (IQWiG) / Germany.
El objetivo de esta guía metodológica es proporcionar una visión general, actualizada y transparente de todo el proceso de recuperación de la información. Esta guía se basa principalmente en evidencia empírica e incluye temas que hasta ahora rara vez se han abordado en los manuales existentes (por ejemplo, la forma de buscar en los registros de estudio o la búsqueda de los estudios no publicados y datos no publicados de los estudios publicados).
Sus recomendaciones son las siguientes:
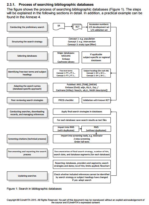
Primera recomendación: Especialistas en información deben formar parte integral del equipo del proyecto de una revisión sistemática desde el principio del proyecto.
Segunda recomendación: Una revisión sistemática debe incluir una búsqueda de literatura no publicada para identificar tanto los estudios no publicados y datos no publicados de los estudios publicados.
Tercera recomendación: Además de MEDLINE, debe buscarse en otras bases de datos bibliográficas como Embase y CENTRAL para identificar todos los estudios relevantes publicados sobre el tema de interés.
Cuarta recomendación: Las estrategias de búsqueda individuales en las bases de datos seleccionadas se debe desarrollar utilizando términos de texto libre y, si está disponible, encabezamientos de materia.
Quinta recomendación: Las estrategias de búsqueda deben ser sometidas a revisión por pares para asegurar estrategias de búsqueda de alta calidad.
Sexta recomendación: El proceso de búsqueda se debe documentar en tiempo real e informar de manera transparente.
En la siguiente figura se muestra el proceso de búsqueda de bases de datos bibliográficas.
Más información en: http://www.eunethta.eu/outputs/eunethta-methodological-guideline-process-information-retrieval-systematic-reviews-and-healt
